<

明治大学授業料

<
私立大学の学費を攻略せよ 有名私立大学を比較して明らかにする 文理各学部の学費相場と内訳 学資保険プロ 返戻率の

私立大学の学費を攻略せよ 有名私立大学を比較して明らかにする 文理各学部の学費相場と内訳 学資保険プロ 返戻率の

大学院の学費はどのくらいなのか 具体例を交えて紹介 保険の教科書

大学院の学費はどのくらいなのか 具体例を交えて紹介 保険の教科書

カリスマ講師kが送る 大学受験は慶應を目指すべし 慶應は学費が高い 本当

カリスマ講師kが送る 大学受験は慶應を目指すべし 慶應は学費が高い 本当

明治大学 H29年度から 1コマ100分6講時 へ リセマム

明治大学 H29年度から 1コマ100分6講時 へ リセマム

大学授業料の推移 明治 Togetter

大学授業料の推移 明治 Togetter

真砂太郎 東京都日野市 On Twitter 60歳ですが 明治大学大学院に特待生 授業料半額免除 で合格しました

真砂太郎 東京都日野市 On Twitter 60歳ですが 明治大学大学院に特待生 授業料半額免除 で合格しました

真砂太郎 東京都日野市 On Twitter 60歳ですが 明治大学大学院に特待生 授業料半額免除 で合格しました

Uz9igl 56mwfim

Uz9igl 56mwfim

明治大学の特待生 特別給費奨学生 になるには 得点感と継続要件も Men S Hack

明治大学の特待生 特別給費奨学生 になるには 得点感と継続要件も Men S Hack

学費 入試 学費 明治東洋医学院専門学校 大阪の鍼灸師 柔道整復師の専門学校

学費 入試 学費 明治東洋医学院専門学校 大阪の鍼灸師 柔道整復師の専門学校

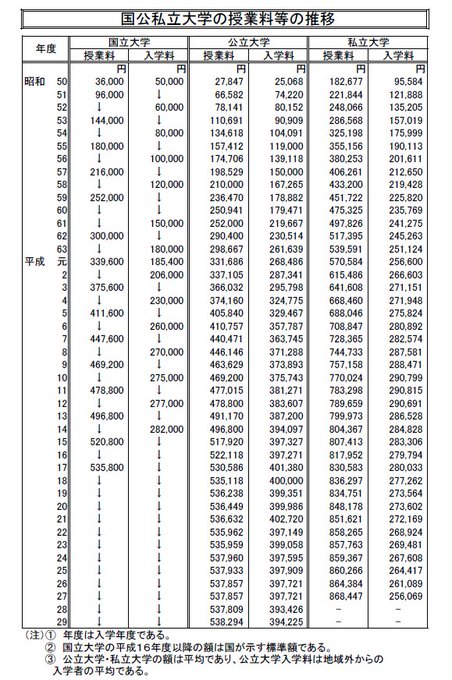
私立大学の授業料 なぜ右肩上がりなのか 学校 受験 東洋経済オンライン 経済ニュースの新基準

私立大学の授業料 なぜ右肩上がりなのか 学校 受験 東洋経済オンライン 経済ニュースの新基準

画像 明治大学 新入生 高い授業料 入学金の元を取る 14の大学活用術まとめ Naver まとめ

画像 明治大学 新入生 高い授業料 入学金の元を取る 14の大学活用術まとめ Naver まとめ

大学授業料の推移 明治 Togetter

大学授業料の推移 明治 Togetter

私立大学の学費を攻略せよ 有名私立大学を比較して明らかにする 文理各学部の学費相場と内訳 学資保険プロ 返戻率の

私立大学の学費を攻略せよ 有名私立大学を比較して明らかにする 文理各学部の学費相場と内訳 学資保険プロ 返戻率の

学費が払えない時に読んで欲しい学費の免除 延納 分納のまとめ キャッシングのまとめ

学費が払えない時に読んで欲しい学費の免除 延納 分納のまとめ キャッシングのまとめ

Https Www Meiji Ac Jp Cip Financial 6t5h7p00000131iu Att 1 2019joseikin Boshuyoko Final Pdf

Https Www Meiji Ac Jp Cip Financial 6t5h7p00000131iu Att 1 2019joseikin Boshuyoko Final Pdf

明治大学 国際日本学部 学費 経済的支援 大学ポートレート

明治大学 国際日本学部 学費 経済的支援 大学ポートレート

明治大学 新入生 高い授業料 入学金の元を取る 14の大学活用術まとめ Naver まとめ

明治大学 新入生 高い授業料 入学金の元を取る 14の大学活用術まとめ Naver まとめ

グローバルで行こう4明治大学国際日本学部 みらいぶ 高校生サイト

グローバルで行こう4明治大学国際日本学部 みらいぶ 高校生サイト

偏差値だけでは測れない March の魅力 2018版 The世界大学ランキング 日本版

偏差値だけでは測れない March の魅力 2018版 The世界大学ランキング 日本版

阿修羅 On Twitter 明治大学商学部 特待生で合格していました 今まで現役一浪と 併願していなかった

阿修羅 On Twitter 明治大学商学部 特待生で合格していました 今まで現役一浪と 併願していなかった

Source : pinterest.com